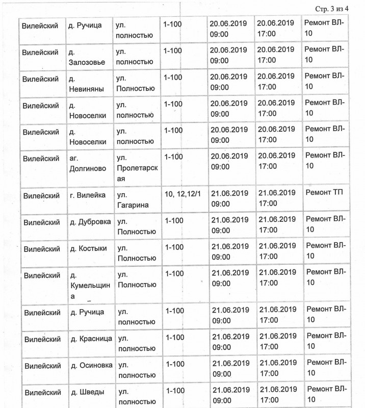
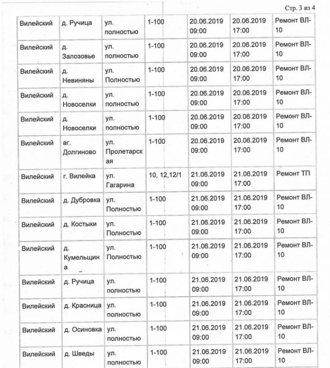
График отключения электроэнергии в Вилейке и районе 17-21 июня
В Вилейском районе продолжаются плановые отключения электроэнергии. В этот раз они коснутся и самой Вилейки, ул. Гагарина.
График отключения на 17-21 июня размещен на сайте Вилейского райисполкома.


Написать комментарий
Обращались ли вы за помощью в милицию?
Новости Вилейки
В Вилейке назначен новый заместитель председателя райисполкома по социальной сфере
Хотите узнать больше? 4 января в Вилейском райисполкоме состоялось мероприятие с участием зампредседателя Миноблисполкома Ивана Маркевича и председателя райисполкома Олега
В Вилейке в скейт-парке, на уличных тренажерах и детских площадках установили камеры видеонаблюдения
Хотите узнать больше? В Вилейке вандалы периодически портят городские объекты. К примеру, скейт-парк с 2016 года громили трижды. В июне kraj.by обратился к властям по
В Вилейском районе установили памятные знаки в честь воинов Первой мировой войны
Хотите узнать больше? В годы Первой мировой войны в деревнях Слобода и Кулиха находились лазареты. 102 года тому назад закончилась Первая мировая война, в которой
В Молодечненском, Воложинском и Вилейском районах запрещено посещать леса
Хотите узнать больше? Запрет на посещение лесов действует уже в 72 районах Беларуси. Такая информация размещена на интерактивной карте запретов и ограничений на посещение
Шефа Вилейского РОВД перебросили в Столбцы
Хотите узнать больше? 30 декабря Александр Коротыш назначен на должность начальника отдела внутренних дел Столбцовского райисполкома. Александр Коротыш Обязанности
Расписание рождественских богослужений в приходе храма Преподобной Марии Египетской
Хотите узнать больше? Православные христиане празднуют Рождество 7 января. Расписание служб на Рождество в приходе храма Преподобной Марии Египетской размещено на сайте
Молодечненский, Вилейский, Мядельский районы... Где еще напряженка с базаром труда
Хотите узнать больше? Правительство утвердило перечень территорий с напряженной ситуацией на рынке труда на 2020 год. Соответствующее постановление Совета Министров от 27
Регистратура разинутого субъекта азбука работать в поликлинике Вилейской ЦРБ
Хотите узнать больше? В районной поликлинике Вилейки 27 декабря торжественно открылась обновленная регистратура с современной «начинкой». Из новшеств – электронная
Инфо
Расписание- Городские автобусы
- Пригородные автобусы
- Автобусы Вилейка - Минск, Молодечно
- Междугородные автобусы
- Пригородные поезда
- Пассажирские поезда
- Карта Вилейки
- Карта Вилейского района
- Карта Вилейского водохранилища
- Карта-схема автобусных маршрутов Вилейки
- Карта-схема автобусных маршрутов в Вилейском районе
Объявления
Упаковщик Вахтовый метод Минск
1 400 бел.руб.
12:23, 22.07.2022Упаковщики грузчики
1 400 бел.руб.
11:05, 22.07.2022Тротуарная Плитка. Укладка от 50 м2 Виле...
16 бел.руб.
08:50, 19.07.2022Чистка ремонт копка углубление колодца
100 бел.руб.
23:10, 06.06.2022Натяжные потолки, декоративная штукатурк...
0 бел.руб.
14:03, 02.03.2022О Вилейке
Вялейшчына ў жыцці і творчасці Максіма Танка
Подробнее Сёлетні год багаты на юбілеі славутых пісьменнікаў, сярод якіх пачэснае месца займае і МАКСІМ ТАНК (Яўген Іванавіч СКУРКО) – народны паэт Беларусі, акадэмік, Герой Сацыялістычнай Працы,
Интересная Беларусь
Как удержать талантливого сотрудника? А надо ли... Опыт iMedia Solutions
Подробнее Создание полноценной работоспособной команды, такая же важная составляющая успеха, как разработка качественных и востребованных продуктов. Заявление на увольнение от ключевого сотрудника компании


